Pengukuran inflasi dengan formula atau rumus Laspeyres menggunakan ' rata rata aritmatika yang memeiliki bobot pada harga relatif dan bobot nilai pada perioda tahun dasar. Rumus atau formula Laspeyres tersebut sebagai berikut,
Bisa dilihat dari rumus Laspeyres di atas bahwasanya indeks pertumbuuhan harga dari sebuah tahun dasar yang ditetapkan. Ini dilihat dari " pit/pio" yang mana menujukkan pertumbuhan harga dibanding periode sebelumnya. Hasil pertumbuhan harga tersebut dikalikan dengan bobot dan nilai masing masing komoditi pada tahun dasar.
Contoh, anda mengambil tahun dasar 2000. Maka yang akan dihitung hanya bobot ditahun tersebut saja. Hasil bobot ini akan dijadikan sebagai nilai bobot untuk tahun berikutnya. Sehingga, indeks harga yang dihasilkan tak mengikuti perubahan bobot setiap tahun.
Karena bobot yang digunakan tetap (pada tahun dasar) saja maka akan didapat indeks harga yang lebih 'halus' dan ini mempermudah dalam hal analisis.
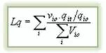
Selain digunakan untuk menghitung indeks harga (Lp). Rumus Laspeyres juga bisa digunakan untuk menghitung Indeks Volume (Lq). Pertumbuan dilihat dari nilai kuantitas komoditi ekspor dan impor. Tujuan perhitungan indeks volume ini adalah untuk mencari tahu pertumbuhan volume riil di lapangan.
Untuk menghitung indeks Volume (Lq) maka digunakan rumus,
Sama dengan perhitungan indeks harga. Bobot yang digunakan adalah bobot pada periode dasar/tahun acuan. Sebagai bentuk contoh perhitungan, sama saja dengan perhitungan IHK sederhana, bedanya nanti hanya butuh dikalikan dengan volume pada periode dasar.



You must be logged in to post a comment.